1、简介
MEMS加速度计终于达到了能够测量广泛机器平台振动的阶段。其最近的能力进步,加上MEMS加速度计已有的相对于传统振动传感器的诸多优势(尺寸、重量、成本、抗冲击性、易用性),促使一类新兴的状态监控(CBM)系统开始使用MEMS加速度计。结果,许多CBM系统架构师、开发者甚至其客户首次考虑使用此类传感器。他们面临的问题常常是如何快速了解评估MEMS加速度计功能的方法,以便在其机器平台上测量最重要的振动特性。这初看起来似乎很困难,因为MEMS加速度计数据手册表述最重要性能特性的方式常常不是开发人员所熟悉的。例如,许多人熟悉用线速度(mm/s)来量化振动,但大多数MEMS加速度计数据手册是用基于重力的加速度(g)来表达其性能指标。幸运的是,有一些简单的技术可用来将加速度转换为速度,以及估计加速度计关键特性(频率响应、测量范围、噪声密度)对重要系统级标准(带宽、平坦度、峰值振动、分辨率)的影响。
2、基本振动特性
先从惯性运动角度考察线性振动。在此背景下,振动是平均位移为零的机械振荡。对于那些不希望其机器穿越整个车间的人来说,零平均位移非常重要!振动检测节点中核心传感器的价值与它反映机器振动最重要特性的能力高低直接相关。要评估特定MEMS加速度计在这方面的能力,首先必须从惯性运动角度对振动有一个基本了解。图1是振动情况的物理示意图,灰色部分表示中点,蓝色部分表示一个方向的峰值位移,红色部分表示另一方向的峰值位移。等式1提供了一个描述矩形物体瞬时加速度的数学模型,其振动频率为(fV),幅度为ARMs。

在大部分CBM应用中,机器平台的振动常常有比等式1所示模型更复杂的频谱特征,但此模型为学习发现之旅提供了一个很好的出发点,因为它给出了CBM系统常常会跟踪的两个常见振动特性:幅度和频率。此方法对关键特性到线性速度项的转换也很有用(稍后将有更多说明)。图2提供了两类不同振动模式的频谱视图。第一类(参见图2中的蓝线)在其频率范围(f1到f6)内具有恒定幅度。第二类(参见图2中的红线)在四个不同频率处出现了峰值幅度:f2, f3, f4, 和 f5.

图2.CM振动模式示例
2.1、系统要求
测量范围、频率范围(带宽)和分辨率是用来量化振动检测节点能力的三个常见特性。图2通过虚线矩形框显示了这些特性,其边界分别对应最低频率(fMIN)、最高频率(fMAX)、最小幅度(AMIN)和最大幅度(AMAX)。当考虑将MEMS加速度计用作振动检测节点中的核心传感器时,系统架构师很可能想在设计早期分析其频率响应、测量范围和噪声行为。有一些简单的技术可用来评估加速度计的各种特性,进而预判其是否满足指定的一组要求。很显然,系统架构师最终必须通过实际验证和鉴定来核验上述估计,但由对加速度计能力的早期分析和预测所得来的期望对这些工作是有价值的。
2.2、频率响应
图2提供了一个简单的一阶模型,其描述了时域中MEMS加速度计对线性加速度(a)的响应(y)。在该关系中,偏置(b)表示传感器无振动时的输出值。比例因子(KA)表示MEMS加速度计响应(y)相对于线性加速度(a)变化的改变量。

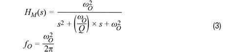
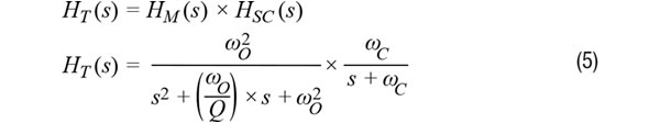
传感器的频率响应描述比例因子(KA)相对于频率的值。在MEMS加速度计中,频率响应主要有两个贡献因素:(1) 其机械结构的响应;(2) 其信号链中的滤波响应。等式3提供了一个通用二阶模型,其近似描述了MEMS加速度计机械部分对频率的响应。在该模型中,fO表示谐振频率,Q表示品质因数。

信号链的贡献常常取决于应用所需的滤波。某些MEMS加速度计使用单极点低通滤波器来帮助降低谐振频率时的响应增益。等式4为此类滤波器相关的频率响应(HSC)提供了一个通用模型。在该类滤波器模型中,截止频率(fC)表示输出信号幅度比输入信号低√2倍时的频率。

等式5将机械结构(HM)和信号链(HSC)的贡献进行了合并。

图3直接应用此模型来预测ADXL356(x轴)的频率响应。此模型假设标称谐振频率为5500 Hz,Q为17,使用截止频为1500 Hz的单极点低通滤波器。注意,等式5和等式4仅描述了传感器的响应。此模型未考虑加速度计与其监控的平台的耦合方式。

图3.ADXL356频率响应
2.3带宽与平坦度的关系
在利用单极点低通滤波器(例如等式4所用)建立频率响应的信号链中,其带宽规格常常说明了其输出信号提供输入信号50%功率时的频率。对于更复杂的响应,例如等式5和等式3中的三阶模型,带宽规格常常带有相应的平坦度规格。平坦度特性描述比率因子在频率范围(带宽)内的变化。利用图3和图5中的ADXL356仿真,1000 Hz时的平坦度约为17%,2000 Hz时的平坦度约为40%。
虽然许多应用由于平坦度(精度)要求而需要限制可以使用的带宽,但对有些应用来说,这可能不是问题。例如,某些应用可能更注重跟踪随时间的相对变化,而不是绝对精度。另一个例子是利用数字后处理技术来消除用户最关心的频率范围上的纹波。对于此类情况,在给定频率范围时,响应的可重复性和稳定性常常比响应的平坦度更重要。
2.4、测量范围
MEMS加速度计的测量范围指标表示传感器的输出信号可以跟踪的最大线性加速度。在超出额定测量范围的线性加速度水平,传感器的输出信号会饱和。这种情况会引起严重失真,导致难以(甚至无法)从测量结果提取有用信息。因此,必须确保MEMS加速度计能够支持峰值加速度水平(参见图2中的AMAX)。
注意,测量范围与频率有一定的关系,因为传感器的机械响应会引入某种响应增益,增益响应的峰值出现在谐振频率时。对于ADXL356的仿真响应(参见图3),增益峰值约为4倍,故测量范围从±40 g降至±10 g。等式6提供了一种分析方法来预测此值,它以等式5为出发点:

比例因子的大幅变化和测量范围的降低,是大多数CBM系统希望将其遭受的最大振动频率限制在远低于传感器谐振频率水平的两个原因。
2.5、分辨率
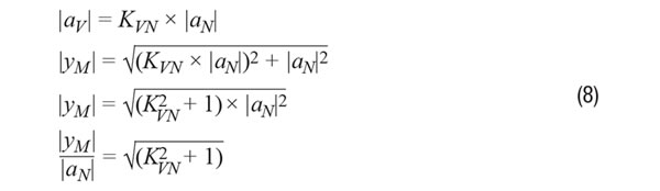
仪器分辨率可定义为环境中引起仪器示数发生可检测变化的最小值。"1在振动检测节点中,加速度测量的噪声会直接影响其检测振动变化的能力(即"分辨率")。因此,对于那些正在考虑利用MEMS加速度计检测其机器平台上微小振动变化的人来说,噪声行为是一个重要考虑因素。等式7提供了一个用于量化MEMS加速度计噪声对其分辨微小振动变化能力的影响的简单关系式。在该模型中,传感器的输出信号(yM)等于其噪声(aN)与其经受的振动(aV)之和。因为噪声(aN)与振动(aV)没有相关性,所以传感器输出信号的幅度(|yM|)等于噪声幅度(|aN|)与振动幅度(|aV|)的和方根(RSS)。

那么,需要何种振动水平才能克服测量中的噪声负担,在传感器输出信号中产生可观测的响应?根据噪声水平量化振动水平有助于以分析方式探究这个问题。等式8通过比率(KVN)确定了这一关系,然后根据该比率导出了一个预测传感器输出变化水平的关系:

2.6、预测传感器噪声
图4显示了一个采用MEMS加速度计的振动检测节点的简化信号链。大多数情况下,低通滤波器会提供某种抗混叠支持,而数字处理会提供更明确的频率响应边界。一般而言,这些数字滤波器会努力保护代表实际振动的信号内容,同时将带外噪声的影响降至最低。因此,当估计噪声带宽时,数字处理是系统中要考虑的影响最大的部分。此类处理可采用时域技术,例如带通滤波器,或采用频谱技术,例如快速傅里叶变换(FFT)。

图4.振动检测节点信号链
等式9提供了一个用于估计MEMS加速度计测量总噪声(ANOISE)的关系式,其中使用了噪声密度(φND)和与信号链相关的噪声带宽(fNBW)。

利用等式9中的关系,我们可以估计:当对ADXL357(噪声密度为80 μg/√Hz)使用噪声带宽为100 Hz的滤波器时,总噪声将为0.8 mg (rms)。
2.7、用速度衡量振动
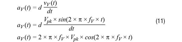
某些CBM应用需要用线速度来衡量核心加速度特性(范围、带宽、噪声)。进行这种转换的一种方法是从图1所示简单模型开始,并使用同样的假设:线性运动、单一频率和零平均位移。等式10通过图1中物体瞬时速度(vV)的数学关系式表述了该模型。此速度的幅度(表示为均方根rms)等于峰值速度除以√2。

等式11对此关系求导,得出图1中物体瞬时加速度的关系式:

从等式11中加速度模型的峰值出发,等式12导出了加速度幅度(Arms)与速度幅度(Vrms)和振动频率(fv)的新关系式。

2.8、案例研究
现在以ADXL357为例进行研究,将上述内容汇总起来,用线速度表示其范围(峰值)和1 Hz至1000 Hz振动频率范围内的分辨率。图5提供了对本案例有影响的多个特性的图形定义,从ADXL357噪声密度相对于1 Hz至1000 Hz频率范围的关系曲线开始。为了简化讨论,本案例研究中的所有计算均假设全部频率范围内的噪声密度为恒定值(φND = 80 μg/√Hz)。图5中的红色频谱曲线表示带通滤波器的频谱响应,绿色竖直线表示单一频率(fV)振动的频谱响应,其对基于速度估计分辨率和范围会很有用。

图5.研究案例的噪声密度和滤波
此过程的第一步是利用等式9估计四个不同噪声带宽(fNBW)产生的噪声(ANOISE):1 Hz、10 Hz、100 Hz和1000 Hz。表2用两个不同单位的线速度给出了这些结果:g和mm/s2。g在多数MEMS加速度计规格表中相当常见,但振动指标常常不是以此来提供。幸运的是,g和mm/s2的关系已为大家熟知,参见等式13。

本案例研究的下一步是整理等式12中的关系,以导出一个简单的公式(参见等式14)来将总噪声转换为线速度项(VRES、VPEAK)。除了提供此关系的一般形式之外,等式14还提供了一个特定例子,其使用10 Hz的噪声带宽(及2.48 mm/s2的加速度噪声)。图6中的四条虚线表示所有四种噪声带宽下相对于振动频率(fv)的速度分辨率。

除了显示各带宽对应的分辨率之外,图6还有一条蓝色实线,其表示相对于频率的峰值振动水平(线速度)。这来自等式15中的关系,其一般形式与等式14相同,但不使用分子中的噪声,而使用ADXL357支持的最大加速度。注意,分子中的系数√2会放大此最大加速度以反映均方根水平,假设采用单一频率振动模型。

最后,红框说明如何将此信息应用于系统级要求。此红框中的最小(0.28 mm/s)和最大(45 mm/s)速度来自关于机器振动的常用工业标准中的一些分类水平:ISO-10816-1。将关于ADXL357范围和分辨率曲线的要求放在一起便可快速得出一些简单的结论,例如:
测量范围的最差情况是在最高频率时,ADXL357的±40 g范围似乎能够测量很大一部分的ISO-10816-1相关振动模式。
当用噪声带宽为10 Hz的滤波器处理ADXL357的输出信号时,ADXL357似乎能够在1.5 Hz至1000 Hz频率范围内解析ISO-10816-1中的最低振动水平(0.28 mm/s)。
当用噪声带宽为1 Hz的滤波器处理ADXL357的输出信号时,ADXL357似乎能够在1 Hz至1000 Hz的全部频率范围内解析ISO-10816-1中的最低振动水平。
3、结语
MEMS已是成熟的振动传感器,在现代工厂CBM系统的技术融合完美风暴中发挥着重要作用。检测、连接、存储、分析和安全领域的新解决方案全都互相融合,为工厂管理者提供完全集成的振动观测和过程反馈控制系统。虽然很容易迷失在所有此类惊人技术进步所带来的兴奋之中,但人们仍需要了解如何将传感器测量结果与实际条件和其代表的含义联系起来。这些简单的技术和见解提供了一种将MEMS性能规格转换为使用熟悉的单位表示的其对关键系统级标准影响的方法,CBM开发商及其客户将能从中获取价值。
文章引用电子发烧友http://bbs.elecfans.com/jishu_1165443_1_1.html
以上内容由应变仪生产厂家-江苏泰斯特(http://www.jsyingbianyi.com/)与你分享,若有谬误,敬请指正。