应变仪的电阻应变应力测量原理,是由粘贴在试件上的电阻应变计作为电阻敏感器件,当被测试件在外力作用下产生应变片电阻变化增量,再利用通用的惠斯登电桥原理,经过低漂移高增益差动放大器,进行电压放大来实现非电量的电阻变化增量转换成电量转换的特殊设计而成。
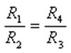
惠斯通电桥适用于检测电阻的微小变化,应变片的电阻变化就用该电路来测量。如图1所示,惠斯通电桥由四个同等阻值的电阻组合而成。如果:
或
则无论输入多大电压,输出电压总为0,这种状态称为平衡状态。如果平衡被破坏,就会产生与电阻变化相对应的输出电压。

所谓的1/4桥方式测试应变应力方法如图2所示:
将这个电路中的R1与应变片相连,有应变(形变)产生时,及应变片电阻的变化量为ΔR,则输出电压的计算公式如下所示:
所以如果测出电桥的输出电压就可以计算出应变的大小。

也就是说当联入两枚应变片时,根据联入方式的不同,两枚应变片上产生的应变或加或减。
所谓的全桥方式测试应变应力方法如图5所示:
桥路的四边全部联入应变片,在电子行业的应变测量中不经常使用,但常用于桥梁、建筑中较多。

以上内容由应变仪生产厂家-江苏泰斯特(http://www.jsyingbianyi.com/)与你分享,若有谬误,敬请指正。